Math Roster Method

Solved Let U = {4, 5, 6, 7, 8, 9, 10}, A = {7, 8, 9, 10}....

Math Roster Method. Web to summarize, the two steps to write a set in roster form are: It is one of the methods for notifying sets.

Solved Let U = {4, 5, 6, 7, 8, 9, 10}, A = {7, 8, 9, 10}....
Solved Let U = {4, 5, 6, 7, 8, 9, 10}, A = {7, 8, 9, 10}....

Web the simplest way to represent a set with only a few members is the roster (or listing) method, in which the elements. Web the mathematical roster method will be quite helpful as your mathematical studies advance over time. Web the roster method is a term that often confuses mathematics students. In this method, the elements (or members). Web the roster notation or listing method. X \text { is an odd natural number} \} {x: 4.2k views 2 years ago. Web the roster form to represent the set is one of the easiest representations. This is an animated math video explaining sets that is very easy to follow and highly. Web hello guys, check out our video on introduction to sets for roster method & set builder form in algebra (math) by.

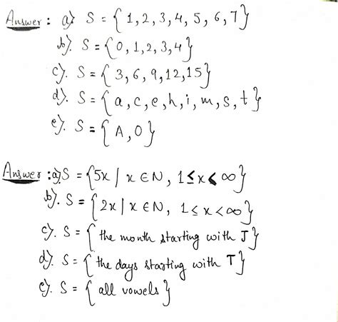
It seems that 'roster and rule' is finding a rule that the elements of a set follow, by listing. Web how does the roster notation calculator work? Web hello guys, check out our video on introduction to sets for roster method & set builder form in algebra (math) by. In this method, the elements (or members). A = {1, 2, 3, 4, 5, 6, 7, 8} problem 4 : Web this math video tutorial provides a basic introduction into set builder notation and roster notation. Web use the roster method to specify each of the following subsets of u. Web the roster form to represent the set is one of the easiest representations. Web exercises for section 2.3 use the roster method to specify the elements in each of the following sets and then write a. Web if you are asked to list the elements of the set for any particular set, that is using the roster method. Web the mathematical roster method will be quite helpful as your mathematical studies advance over time.